Composite Function Worksheet Answers – Lots of grammar worksheets that cowl a big selection of subjects. NoRetain the current instance of the string and advance to the following instance. YesReplace the current instance of the string with the specified replacement and advance to the subsequent instance.
The worksheet may be incorporated into the filing bundle, or may only be a software for the filer to determine out the worth, however with out requiring the worksheet to be filed. Overall, analysis in early childhood training exhibits that worksheets are recommended primarily for evaluation purposes. Worksheets shouldn’t be used for instructing as this isn’t developmentally applicable for the training of younger students. Worksheets are necessary as a outcome of those are individual actions and parents additionally want it. With evolving curricula, dad and mom might not have the mandatory schooling to information their students by way of homework or provide additional help at residence.
Make Composite Function Worksheet Answers
To select multiple worksheets, click on the CMD or CTRL key once after which click on on multiple table rows. Click the CMD or CTRL key as quickly as and then click on a number of rows to select a quantity of worksheets. Your present interface position determines the default function for worksheets that you simply open, but the worksheets aren’t tied to the interface position.
Add Multiple CursorsTo add a quantity of cursors in the identical worksheet, hold down the or key and click on on in each new location using the mouse left button or the touchpad. The list of databases and different objects refreshes mechanically when the worksheet context is changed. Users can even click the refresh button on the top of the object browser to view object adjustments immediately.
With Adobe Spark Post, it’s free and simple to make, save, and share your designs within minutes. If the at present energetic worksheet is deleted, then the sheet at the earlier index place will turn out to be the at present active sheet. Alternatively, one worksheet is at all times the at present energetic worksheet, and you may access that directly. The at present lively worksheet is the one which will be energetic when the workbook is opened in MS Excel . A worksheet is a group of cells, formulae, images, graphs, and so forth. It holds all data necessary to represent a spreadsheet worksheet.
When a question is executed, a status bar displays the current total query period. Click on a database or schema to explore the database objects contained within. The object browser may be collapsed at any time to make more room for the SQL editor and results/history panes.
In the classroom setting, worksheets normally refer to a loose sheet of paper with questions or exercises for college kids to complete and document answers. They are used, to some extent, in most topics, and have widespread use within the math curriculum where there are two main varieties. The first type of math worksheet accommodates a set of comparable math issues or exercises. These are intended to help a scholar turn out to be proficient in a specific mathematical talent that was taught to them in class.
Past and present pointers, reports, varieties, instructions, worksheets, and different related assets. This interactive worksheet is supplied for informational functions solely. The consumer ought to independently confirm that every one entries and calculations generated by the interactive worksheet are correct earlier than counting on its results or filing it with a court. Resizing the present warehouse to dynamically enhance or lower the compute resources utilized for executing your queries and different DML statements.
These are often known as columnar pads, and usually green-tinted. A worksheet, within the word’s unique that means, is a sheet of paper on which one performs work. They are obtainable in many types, mostly associated with children’s college work assignments, tax varieties, and accounting or different enterprise environments. Software is increasingly taking on the paper-based worksheet.If you are looking for Composite Function Worksheet Answers, you’ve come to the right place. We have some images nearly Composite Function Worksheet Answers including images, pictures, photos, wallpapers, and more. In these page, we after that have variety of images available. Such as png, jpg, animated gifs, pic art, logo, black and white, transparent, etc.
If you are looking for 30 Composite Function Worksheet Answer Key | Education Template you’ve visit to the right web. We have 25 Pictures about 30 Composite Function Worksheet Answer Key | Education Template like Composite Function Worksheet – Fill Online, Printable, Fillable, Blank, 30 Composite Function Worksheet Answers | Education Template and also 50 Composite Function Worksheet Answers | Chessmuseum Template Library. Here it is:
30 Composite Function Worksheet Answer Key | Education Template
worksheet function
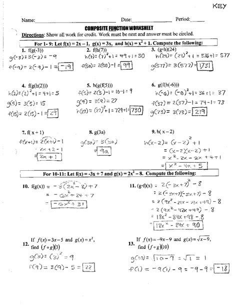
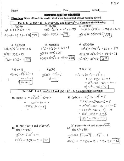
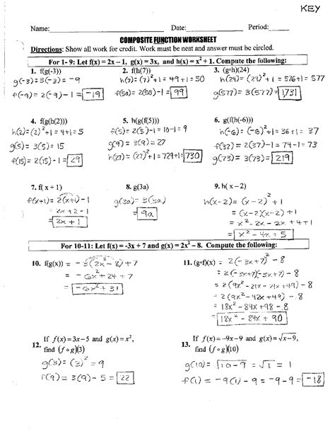
Composite Function Worksheet Answers (1).doc – COMPOSITE FUNCTION
composite evaluate
30 Composite Functions Worksheet Answers | Education Template
composite
Composite Function Worksheet Answers — Db-excel.com
worksheet composite function answers excel db consider producing items when
Limits Of Composite Functions Worksheet – Worksheet
Composite Function Worksheet Answers — Db-excel.com
composite rule chain worksheet functions function derivatives answers review excel db inc please movie food
30 Composite Function Worksheet Answers | Education Template
Composite Function Worksheet – Fill Online, Printable, Fillable, Blank
worksheet composite function answers pdf form fh7 sign pdffiller signnow
30 Composite Function Worksheet Answers | Education Template
Composite Function Worksheet Answers In 2021 | Trigonometry Worksheets
Composite Function Worksheet Answers 14 21 – Worksheet
chromatography spectrometry gcms libretexts evaluate
30 Composite Function Worksheet Answer Key | Education Template
piecewise transformations
50 Composite Function Worksheet Answers | Chessmuseum Template Library
️Composite Inverse Trig Functions Worksheet Free Download| Goodimg.co
50 Composite Function Worksheet Answers | Chessmuseum Template Library
worksheet functions answers function composition inverse composite operations graphing chessmuseum related posts template
Composite Function Worksheet Answers 14 21 – Worksheet
50 Composite Function Worksheet Answers | Chessmuseum Template Library
function worksheet composite answers chessmuseum
Composite Function Worksheet Answer Key – Worksheet
algebra graphing evaluating mathworksheets4kids linear kidsworksheetfun
30 Composite Functions Worksheet Answers | Education Template
worksheet function
Quiz & Worksheet – Evaluating Composite Functions | Study.com
composite functions worksheet function evaluate evaluating 2x practice quiz study if write
50 Composite Function Worksheet Answers | Chessmuseum Template Library
composite worksheet answers function functions chessmuseum related posts
30 Composite Function Worksheet Answer Key | Education Template
factoring trinomials polynomials algebra distributive worksheets grouping kuta quadratic briefencounters homework chessmuseum quadratics
Composite Function Worksheet Answer Key Quiz & Worksheet Practice
key
️Composition Of Functions Graphically Worksheet Free Download| Gambr.co
50 Composite Function Worksheet Answers | Chessmuseum Template Library
worksheet function answers composite functions operations chessmuseum related posts
50 composite function worksheet answers. Composite worksheet answers function functions chessmuseum related posts. Composite functions worksheet function evaluate evaluating 2x practice quiz study if write
[ssba-buttons]