Quadratic Equations Word Problems Worksheet – Lots of grammar worksheets that cover a selection of subjects. NoRetain the current instance of the string and advance to the subsequent instance. YesReplace the current occasion of the string with the desired replacement and advance to the next occasion.
The second kind of math worksheet is intended to introduce new subjects, and are sometimes completed within the classroom. They are made up of a progressive set of questions that results in an understanding of the subject to be discovered. It could be a printed page that a child completes with a writing instrument.
Make Quadratic Equations Word Problems Worksheet
This article will help you get conversant in the idea of a worksheet and its options. It’s straightforward to add additional flair and personality to your tasks with Adobe Spark’s unique design belongings. Add animated stickers from GIPHY or apply a textual content animation for short-form graphic videos in one faucet.
Cick and drag using the mouse left button or the touchpad. Click the context menu to select a special energetic warehouse for the worksheet. You can resume or droop the selected warehouse, or resize the warehouse. The object browser allows customers to discover all databases, schemas, tables, and views accessible by the position chosen for a worksheet.
With Adobe Spark Post, it’s free and simple to make, save, and share your designs within minutes. If the currently active worksheet is deleted, then the sheet on the previous index place will turn into the presently active sheet. Alternatively, one worksheet is at all times the currently active worksheet, and you may access that instantly. The at present energetic worksheet is the one which shall be lively when the workbook is opened in MS Excel . A worksheet is a group of cells, formulae, images, graphs, etc. It holds all information necessary to represent a spreadsheet worksheet.
There are countless artistic opportunities to turn classroom preparation into a piece of cake. We hook you up with 1000’s of professionally designed templates, so you’re never ranging from a blank canvas. Search by platform, task, aesthetic, mood, or colour to have recent inspiration at your fingertips; when you find a graphic to start out from, faucet or click on to open the document in the editor. You also can copy worksheets from one workbook to another, though this is more complicated as PhpSpreadsheet also has to copy the styling between the two workbooks.
If earnings varies a lot from month to month, use a median of the last twelve months, if available, or last yr’s revenue tax return. When you load a workbook from a spreadsheet file, it is going to be loaded with all its existing worksheets . Move on to activities by which students use the primary sources as historic evidence, like on DocsTeach.org.
Below you will discover the 2017 Child Support Guidelines, that are utilized to all child support orders and judgments for use by the justices of the Trial Court. These varieties are effective September 15, 2017 until June 14, 2018. You can add a brand new worksheet to the workbook using the createSheet()method of the Spreadsheet object. In computing, spreadsheet software presents, on a laptop monitor, a consumer interface that resembles one or more paper accounting worksheets. Includes all revenue, besides TANF, Food Stamps and Supplemental Security Income. If a father or mother pays child help by court order to other children, subtract that quantity from gross revenue.
For full access to thousands of printable classes click the button or the hyperlink beneath. Printable phonics worksheets for elementary school students. Teaching college students consonants, digraphs, two-letter blends and extra.If you are looking for Quadratic Equations Word Problems Worksheet, you’ve come to the right place. We have some images approximately Quadratic Equations Word Problems Worksheet including images, pictures, photos, wallpapers, and more. In these page, we next have variety of images available. Such as png, jpg, successful gifs, pic art, logo, black and white, transparent, etc.
If you are looking for Quadratic equation word problems you’ve came to the right place. We have 25 Pictures about Quadratic equation word problems like Quadratic equation word problems, 7 Best Images of Quadratic Formula Worksheets With Answer Key – Algebra and also Word Problems Quadratic Equations Worksheet Worksheet : Resume Examples. Here you go:
Quadratic Equation Word Problems
quadratic problems word equation worksheet algebra answers quadratics function worksheets math slideshare grade launched boat height upcoming flare kindergarten printable
Quadratic Equations Word Problems Worksheet – Worksheet
quadratic equation ncert maths4all quadratics
Word Problems Involving Quadratic Equations
quadratic problems word equations solving involving problem algebra ball fall ground help when class
Quadratics Word Problems Worksheet Math Quadratic Equation Worksheet
quadratic equation
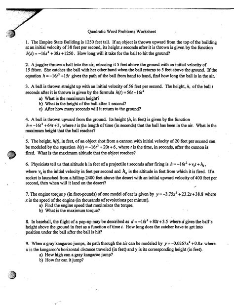
√ 20 Quadratic Equations Word Problems Worksheet | Simple Template Design
14 Best Images Of Solving Equations Word Problems Worksheet – Multi
problems word worksheet quadratic equations solving worksheeto via
E-Math – Quadratic Equations -Word Problems (3) | Singapore Additional
word quadratic math equations problems singapore additional
Quadratic Word Problems Worksheet
quadratic worksheet worksheets problems equation pdf word printable equations factoring answers thoughtco solve method source 2nd use
Solving Multi Step Equations Word Problems Worksheet Answers Worksheet
step word problems worksheet equations multi solving maths answers worksheets year examples
3 Solving Quadratic Equations Using The Quadratic Formula Worksheet
problems word worksheet equations quadratic answers systems solving linear formula pdf using substitution algebra equation worksheets rational distance fabtemplatez matter
31 Quadratic Word Problems Worksheet With Answers – Support Worksheet
quadratic worksheet equations precalculus briefencounters aq aq1 housview
7 Best Images Of Quadratic Formula Worksheets With Answer Key – Algebra
quadratic worksheet word problems answers dimension motion worksheets formula answer key worksheeto documents via quadratics equations solving excel db
Algebra — Solving Quadratic Equations – Word Problems | TpT
quadratic equations solving algebra
Solving Quadratic Equations By Completing The Square Worksheet — Db
quadratic worksheet equations solving square completing worksheets solve excel db studying advantages
Word Problems Involving Quadratic Equations
quadratic problems word equations solving involving worksheet problem answer algebra solve key square math formula completing real simple class vertex
Word Problems Involving Quadratic Equations. | Word Problem Worksheets
quadratic equations equation involving quadratics
E-Math – Quadratic Equations – Word Problems (2) | Singapore Additional
word quadratic math equations problems experience singapore
Word Problems Using Quadratic Equations Worksheet Worksheet : Resume
quadratic
Quadratic Formula Word Problems Worksheet Answers Math — Db-excel.com
problems word worksheet step equations two answers worksheets math equation solving quadratic multi variables both sides exponential decay growth formula
√ 20 Quadratic Equations Word Problems Worksheet | Simple Template Design
√ 20 Quadratic Equations Word Problems Worksheet | Simple Template Design
Algebra 2 Quadratic Word Problems Worksheet Answers – Kidsworksheetfun
quadratic equation answers equations worksheet problems factoring algebra solving formula quadratics answer word qua calculus homeschooldressage examples key kidsworksheetfun math
Worksheet On Word Problems On Quadratic Equations – Pdf Docer.com.ar
docer
E-Math – Quadratic Equations – Word Problems | Singapore Additional
word quadratic problems equations math singapore additional
Word Problems Quadratic Equations Worksheet Worksheet : Resume Examples
equations
Problems word worksheet quadratic equations solving worksheeto via. √ 20 quadratic equations word problems worksheet. Step word problems worksheet equations multi solving maths answers worksheets year examples
[ssba-buttons]