Z Score Practice Worksheet – Lots of grammar worksheets that cover a wide selection of subjects. NoRetain the present occasion of the string and advance to the following occasion. YesReplace the current instance of the string with the desired substitute and advance to the next occasion.
The W-4 form allows the employee to choose an exemption degree to reduce the tax factoring , or specify an extra quantity above the standard number . The form comes with two worksheets, one to calculate exemptions, and another to calculate the effects of other income (second job, partner’s job). The backside quantity in each worksheet is used to fill out two if the lines in the primary W4 type. The major type is filed with the employer, and the worksheets are discarded or held by the employee. Many tax types require complicated calculations and desk references to calculate a key worth, or may require supplemental info that is solely related in some cases. Rather than incorporating the calculations into the main form, they’re usually offloaded on a separate worksheet.
Create Effective Z Score Practice Worksheet
A worksheet generator is a software program that shortly generates a collection of issues, particularly in arithmetic or numeracy. Such software program is commonly utilized by academics to make classroom materials and checks. Worksheet turbines could also be loaded on local computers or accessed via an net site. There are additionally many worksheet turbines which are obtainable online. However, authentic worksheets can be made on functions such as word or powerpoint. In accounting, a worksheet is, or was, a sheet of ruled paper with rows and columns on which an accountant may report information or carry out calculations.
For complete entry to thousands of printable classes click the button or the hyperlink beneath. Printable phonics worksheets for elementary school college students. Teaching college students consonants, digraphs, two-letter blends and more.
A worksheet generator is a software program that quickly generates a set of issues, significantly in arithmetic or numeracy. Such software program is often utilized by academics to make classroom supplies and exams. Worksheet turbines could additionally be loaded on native computer systems or accessed through a website. There are also many worksheet mills which would possibly be out there online. However, original worksheets could be made on applications corresponding to word or powerpoint. In accounting, a worksheet is, or was, a sheet of ruled paper with rows and columns on which an accountant could report info or perform calculations.
Lots of grammar worksheets that cowl a big selection of matters. NoRetain the current instance of the string and advance to the subsequent instance. YesReplace the present occasion of the string with the specified substitute and advance to the subsequent instance.
Interactive remedy tools are distinctive and interesting assets to reinforce your therapy follow. Each interactive device is like a small app that you can use on your laptop, telephone, or pill with the clicking of a button. Try games and illustrated tales for youths, or activities and audio for adults. In spreadsheet packages just like the open supply LibreOffice Calc or Microsoft’s Excel, a single document is called a ‘workbook’ and will have by default three arrays or ‘worksheets’. One benefit of such programs is that they will contain formulae so that if one cell value is modified, the entire doc is mechanically up to date, primarily based on those formulae. Worksheet generators are often used to develop the sort of worksheets that contain a set of similar issues.
Visit the reading comprehension page for a complete assortment of fiction passages and nonfiction articles for grades one by way of six. Enter the cost paid by each father or mother for work-related baby care. If the price varies , take the whole yearly price and divide by 12. The custodial father or mother is the parent who has the kid more of the time. If each of you have the kid 50% of the time, choose considered one of you to be the custodial father or mother. Select Text AreaTo select a textual content area, hold down the or key.
For full entry to hundreds of printable classes click the button or the link beneath. Printable phonics worksheets for elementary school college students. Teaching college students consonants, digraphs, two-letter blends and extra.If you are looking for Z Score Practice Worksheet, you’ve arrive to the right place. We have some images practically Z Score Practice Worksheet including images, pictures, photos, wallpapers, and more. In these page, we afterward have variety of images available. Such as png, jpg, active gifs, pic art, logo, black and white, transparent, etc.
If you are looking for Z-score worksheet solutions – Z-Score Practice Worksheet Name 1 A you’ve visit to the right page. We have 25 Pictures about Z-score worksheet solutions – Z-Score Practice Worksheet Name 1 A like Z Practice Worksheet — db-excel.com, Z-score worksheet by laura larsen | Teachers Pay Teachers and also Z-Score Practice Worksheet. Here it is:
Z-score Worksheet Solutions – Z-Score Practice Worksheet Name 1 A
score scores
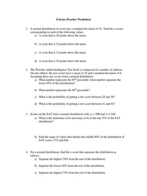
Z-Score Practice Worksheet
worksheet scores score practice probabilities their studylib
Z-score Worksheet By Laura Larsen | Teachers Pay Teachers
score worksheet
Z Score Practice Worksheet
practice
Z Score Practice Worksheet Answers
worksheet practice distribution quiz problems normal using ivuyteq
Z-score Worksheet Solutions – Z-Score Practice Worksheet Name 1 A
Z Score Practice Worksheet | Education Template
Z-score Worksheet By Laura Larsen | Teachers Pay Teachers
score worksheet
Solved Z-Score Practice Worksheet Name 1. A Normal | Chegg.com
score practice worksheet name normal chegg scores answers solved questions distribution
30 Z Score Practice Worksheet | Education Template
Z Score Practice Worksheet In 2021 | Practices Worksheets, Math Formula
Z Score Practice Worksheet – Free Worksheet Template
Z Scores Practice Worksheet – Worksheet
scores chegg garrido
Z-score Worksheet By Laura Larsen | Teachers Pay Teachers
Z Practice Worksheet — Db-excel.com
Z-Score Practice Worksheet
score worksheet practice distribution normal scores ws statistics
Z-score Worksheet By Laura Larsen | Teachers Pay Teachers
30 Z Score Practice Worksheet – Support Worksheet
Z-Score Practice Worksheet
worksheet score scores
Z Score Practice Worksheet | Education Template
Z Score Practice Worksheet
Z Score Practice Worksheet – Free Worksheet Template
Z Score Practice Worksheet
statistics
Z-score_worksheet_solutions__1_without_answers.doc – Name _ Date
Z-score Worksheet By Laura Larsen | Teachers Pay Teachers
Z-score worksheet by laura larsen. 30 z score practice worksheet. Z score practice worksheet in 2021
[ssba-buttons]